BTC/USD-2.22%
ETH/USD-3.26%
LTC/USD-2.4%
ADA/USD-3.2%
SOL/USD-3.14%
XRP/USD-2.16%Bitcoin se ha desempeñado asombrosamente desde julio, superando los $ 11,000 por primera vez a fines de mes, ¡alcanzando un nuevo máximo en casi 11 meses! Cuando Bitcoin sube, las personas más felices son los mineros de Bitcoin. Entonces, ¿cómo calculan los mineros la producción teórica cuando extraen Bitcoin en un mercado alcista? ¿Cómo liquidará los ingresos el pool general de minería?
¿Cómo calcular el rendimiento teórico de la minería de Bitcoin?
Antes de calcular la producción teórica por T de potencia informática por día, primero debemos conocer los siguientes conceptos:
Dificultad: se refiere a la dificultad de minar y la dificultad de encontrar un valor Hash que cumpla con los requisitos del sistema.
Hashrate: el número de cálculos Hash completados por la máquina de minería por unidad de tiempo
Recompensa del sistema (Block Reward): cuando se extrae un nuevo bloque, el sistema recompensa a los mineros con bitcoins. La etapa actual es de 6,25 bitcoins.
La dificultad inicial de la red Bitcoin se define como 1, es decir, Dificultad=1, lo que significa que cuando la red Bitcoin comienza a funcionar por primera vez, cada 2^48/(2^16-1)≈2^32 cálculos hash, teóricamente se puede minar un bloque.
Datos: La dificultad de minería de Litecoin es de casi 18 MH/s, un récord: el 5 de noviembre, la dificultad de minería de Litecoin alcanzó los 17,99 MH/s, un récord. [2022/11/5 12:20:40]
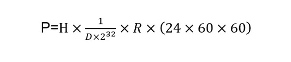
Con el aumento del poder de cómputo de la minería, la dificultad de la minería de Bitcoin sigue aumentando. Cuando la dificultad de la minería es D, en teoría, excavar un nuevo bloque requiere operaciones de hash D*2^32.
El poder de cómputo del minero es H (la unidad es hash/s), su producción de monedas diaria (24 horas) es P, la dificultad de minado es D y la recompensa del sistema es R, entonces:

Suponemos que la potencia informática del minero es 1TH/s (es decir, 10^12H/s), la dificultad D se puede consultar a través de sitios web relevantes, la dificultad actual D=16847561611550 , el sistema recompensa R=6,25 bitcoins y la el ingreso diario de 1T de poder de cómputo se calcula P=0.00000746 Bitcoin.
Noticias | Tencent Yujian: El troyano descargador Eternal Blue se actualizó nuevamente para realizar ataques de minería "sin archivos": Tencent Security Yujian Threat Intelligence Center detectó que el troyano descargador Eternal Blue se actualizó nuevamente el 3 de abril, esta vez La actualización cambió el método de ejecución del caballo de Troya minero original. Al incorporar la carga de archivos PE en Powershell, se puede ejecutar la forma "sin archivos" de ataque minero. El nuevo método de ejecución del troyano minero no tiene un aterrizaje de archivos y se ejecuta directamente en el proceso Powershell.exe, lo que puede dificultar su detección y eliminación. [2019/4/5]

▲Fuente de datos: https://btc.com/stats/diff
La salida teórica por T de poder de cómputo de Bitcoin se puede encontrar en el sitio web. El ingreso por T de poder de cómputo bajo el método de liquidación PPS en la figura a continuación es el rendimiento teórico por T de poder de cómputo.
Noticias | La filial de Acronis lanzará un software de copia de seguridad que puede hacer frente a virus de encriptación y minería: según Nikkei News, la filial japonesa del gigante suizo de software de copia de seguridad Acronis lanzará un software de copia de seguridad orientado a la protección personal. Este software es una versión mejorada de True Image 2019, que puede corresponder al virus de secuestro de minería de criptomonedas. [2018/11/20]

Fuente de datos: https://btc.com
Además de las recompensas del sistema por excavar nuevos bloques, también hay una tarifa de minero por transacciones empaquetadas.¿Cómo calcular esta parte de la salida? Esto está relacionado con el método de liquidación del pool de minería.
¿Cómo liquida el pool minero los ingresos de los mineros?
La cantidad de usuarios de minería de bitcoin es muy grande y los bitcoins producidos cada 10 minutos son muy limitados, lo que genera una situación en la que decenas de millones de personas toman un bloque. Por lo tanto, si un individuo compra una o varias máquinas de minería sola, la minería puede no ser capaz de agarrar un bloque durante todo un año.. En este caso, existe un método de minería en equipo.. El llamado minería en equipo es el grupo de minería del que vamos a hablar ahora (mining pool).
En vivo | Ao Gang: La minería en un mercado bajista requiere minería temprana, minería frecuente y minería sin preocupaciones: informe en vivo de Jinse Finance, en la Cumbre de Minería 2018 copatrocinada por MicroBT, Canaan, Innosilicon y Coinin Mining Pool, Ao Gang, el cofundador de Innosilicon, reveló que se lanzó la máquina minera de próxima generación T3 48T. Ao Gang dijo que si hay una velocidad más rápida y un mejor plan, no hay necesidad de preocuparse por el mercado bajista. La sugerencia de minería en el mercado bajista es la minería temprana, la minería frecuente y la minería sin preocupaciones. Aunque la dificultad de la minería es cada vez más alta, la pendiente se ralentiza, lo que significa que nacen oportunidades. [2018/10/14]
Un pool de minería es un servidor diseñado con un algoritmo específico, y todos los usuarios conectados al servidor del pool de minería formarán un equipo para minar. Aunque el poder de cómputo de una sola máquina de minería no es suficiente para extraer bitcoins, el rendimiento general será muy poderoso si miles de personas se unen para minar. En este caso, la tasa de éxito de la minería mejorará considerablemente. Una vez que el equipo en el grupo de minería crea con éxito un bloque, todas las personas del equipo pagarán dividendos de acuerdo con la potencia informática de la máquina de minería de cada persona.
Según el tamaño de la potencia informática, la distribución según el trabajo es el marco básico del pool minero para liquidar los ingresos de los mineros. Anteriormente, PPS y PPLNS eran los principales métodos de distribución en la industria. Con el desarrollo de la industria, los principales métodos de liquidación de los grupos de minería de Bitcoin son FPPS y PPS+.

▲Comparación de diferentes métodos de liquidación
Hoy nos centraremos en los dos principales métodos de liquidación de grupos de minería de bitcoin, incluidos dos modos diferentes de PPS+ y FPPS.
Modo PPS+
PPS+ es Pay Per Share Plus En este método de liquidación, la parte de recompensa del sistema se basa en la carga de trabajo efectiva presentada por los mineros para liquidar los ingresos. El método de cálculo específico se presenta arriba:
La tarifa del minero que recibe el grupo de minería todos los días se distribuye de acuerdo con la relación de potencia de cómputo real. Por ejemplo, suponga que el grupo minero liquida los ingresos a los mineros en forma de PPS+. En la parte de recompensa del sistema, el ingreso teórico del minero A es de 10 BTC por día, y el poder de cómputo del minero A representa el 10% del poder de cómputo del grupo minero. El grupo debe asignar al minero A:
10BTC+2*10%BTC=10.2BTC.
Es decir, el método de liquidación de PPS+, la recompensa del sistema no se ve afectada por el valor de la suerte del pool de minería (el valor de la suerte del pool de minería = la recompensa real del sistema/recompensa del sistema teórico*100%), y la parte de la tarifa del minero está relacionada con los ingresos del pool de minería. Está relacionada con la tarifa del minero total recibida, y la tarifa del minero del pool de minería se ve afectada por su valor afortunado. Cuanto mayor sea el valor de la suerte, más transacciones empaquetadas en general y más tarifas de manejo recibidas. Si el grupo de minería no produce un bloque por un día, los mineros no podrán compartir la tarifa del minero.
Modo FPS
FPPS es Full Pay Per Share, lo que significa que tanto las recompensas del sistema como las tarifas de los mineros se liquidan de acuerdo con el valor teórico.
Por ejemplo, suponga que el grupo minero liquida los ingresos a los mineros en forma de FPPS. Para las recompensas del sistema, el ingreso teórico por día del minero A es de 10 BTC. La relación entre la tarifa del minero y la recompensa del sistema de toda la red ese día es del 1,5 %. Si se ignora la tasa de la tarifa del grupo de minería, el grupo de minería se distribuirá al minero A: 10*(1+1,5 %)=10,15 BTC .
En el modo de liquidación FPPS, los ingresos del minero no tienen nada que ver con la fluctuación del valor de la suerte del pool minero.
En términos generales, con la intensificación de la competencia entre los pools de minería, el método de liquidación de los pools de minería se ha vuelto cada vez más refinado y ha evolucionado gradualmente desde solo la liquidación de recompensas en bloque hasta la liquidación de recompensas en bloque y tarifas de mineros PPS+ y FPPS. es el método de liquidación principal actual del grupo de minería de Bitcoin.
Como empresa minera con toda la cadena industrial, Kantone ha realizado un diseño profundo en el campo de la minería de mecanismos POW, especialmente en la industria minera BTC. Hemos construido muchas minas grandes de bitcoin en Qinghai y Sichuan. Canton lanzará el poder de cómputo del grupo de minería BTC en un futuro cercano, ¡así que estad atentos!
Tags:
Mucha gente piensa que es un problema económico.
Título ▌Putin firmó un proyecto de ley para permitir transacciones de activos financieros digitales en Rusia a partir de 2021Según RIA Novosti, el presidente ruso, Vladimir Putin.
Después de romper el escote de 10 300 dólares estadounidenses ayer, el precio se disparó hacia el cielo y aumentó directamente en 1000 dólares estadounidenses. Subir alto y retroceder aún no es un avance efectivo.
Bitcoin se ha desempeñado asombrosamente desde julio, superando los $ 11,000 por primera vez a fines de mes, ¡alcanzando un nuevo máximo en casi 11 meses! Cuando Bitcoin sube.
Financial Association News, el sistema blockchain y la aplicación del sistema financiero finalmente tienen estándares completos y detallados.Tras el lanzamiento de la "Especificación de seguridad técnica del libro may.
Slack oficial de Filecoin anunció que se lanzará una nueva red de desarrollo llamada "Calibración".
Recientemente, de acuerdo con el comando unificado y el despliegue del Ministerio de Seguridad Pública.