BTC/USD-2.22%
ETH/USD-3.26%
LTC/USD-2.4%
ADA/USD-3.2%
SOL/USD-3.14%
XRP/USD-2.16% 
Golden Finance lanzó recientemente la columna Hardcore para brindar a los lectores introducciones o interpretaciones detalladas de proyectos populares.
Prensa: El modelo más famoso para predecir los precios de Bitcoin es el modelo S2F (Stock to Flow) establecido por PlanB en 2019. Bitcoin acaba de reducirse a la mitad el 12 de mayo. PlanB estima que la relación stock/producción (SF) de Bitcoin aumentará de 25 a 50 después de la reducción a la mitad. Debido a la escasez duplicada, se espera que el valor de mercado de Bitcoin aumente a 1 en a largo plazo Billones de dólares, equivalente a $ 55,000 en precios de bitcoin. El 28 de abril de 2020, obtuvo además el "Modelo de activos cruzados de stock a flujo" (S2FX, Stock to Flow Cross Asset), utilizando algoritmos genéticos para distinguir cuatro etapas diferentes de Bitcoin, prediciendo que el precio de Bitcoin en 2024 será tan alto como 28.8 Diez mil dólares americanos. Recientemente, Nick Emblow usó el método de análisis de conglomerados K-means para reproducir el modelo S2FX con datos independientes y también distinguió cuatro etapas de bitcoin y predijo que para la cuarta reducción a la mitad en 2024, el precio de bitcoin estaría entre 83.000 y 1,48 millones de dólares estadounidenses. rango de dólares, con una mediana de $350,000. Para un análisis detallado, consulte este número de Hardcore, disfrútelo.
Golden Evening News | Lista de noticias importantes en la noche del 11 de noviembre: 12:00-21:30 Palabras clave: Blockchair, Crust testnet, Infura, Coinbase, emisión de USDT
1. Desarrolladores centrales de Blockchair: deben iniciar una investigación sobre la bifurcación dura no revelada de Ethereum.
2. La red de prueba de Crust entrará en la fase beta cerrada mañana.
3. Bufete de abogados de EE. UU.: el IRS investigará a los usuarios de Coinbase por evasión de impuestos.
4. La empresa de pagos coreana Danal Fintech se unió al ecosistema de cadena de bloques ICON.
5. Infura: la interrupción se debió a que la versión anterior encontró un error de consenso en el bloque 11234873.
6. Tether recientemente emitido 150 millones de USDT.
7. Análisis: La actualización no revelada de la bifurcación dura de Ethereum hizo que Infura no pudiera actualizarse a tiempo y provocara un tiempo de inactividad.
8. V God niega que la red Ethereum esté bifurcada, o que la versión antigua de Geth haya causado problemas en el servicio. [2020/11/11 12:21:14]
En el artículo S2FX de PlanB, identifica cuatro fases distintas de Bitcoin que corresponden a diferentes relaciones stock/producción. Al realizar una regresión lineal sobre las relaciones stock/producción y las capitalizaciones de mercado correspondientes a estos puntos centrales de la etapa, se puede dibujar una línea recta que cae en una línea recta con el oro y la plata. Esto le da a la gente cierta confianza de que Bitcoin está superando la fase experimental y tendrá un impacto económico real.
Golden Morning News | Una lista de desarrollos importantes durante la noche del 9 de julio: 21: 00-7: 00 Palabras clave: CFTC, Libra, cryptojacking, tarifas de transacción de mineros
1. La CFTC de EE. UU. ha prometido desarrollar un "marco general" para los activos digitales en un plazo de 4 años.
2. El Comité Asesor Técnico de la CFTC realizará una reunión para discutir temas como la moneda virtual.
3. Ejecutivos de Libra: Libra no ha renunciado a las monedas estables multidivisa.
4. Las autoridades de EE. UU. demandan a los piratas informáticos kazajos por promover servicios de cryptojacking.
5. El contrato de futuros de CME Bitcoin de julio cerró con una subida del 2,37%.
6. La primera aplicación de red de servicios de cadena de bloques en la provincia de Gansu se puso en línea.
7. La relación entre los ingresos por tarifas de transacción de los mineros de Ethereum y los ingresos totales alcanzó un récord en junio.
8. El ex vicepresidente de Facebook se desempeñará como director legal de Coinbase.
9. Bitcoin siguió subiendo, con un máximo diario de $9467,21 y un mínimo de $9380,96. [2020/7/9]
Soy muy escéptico acerca de estos modelos, por lo que voy a utilizar la técnica de análisis de datos de agrupamiento de K-means sin depender de ninguna suposición de PlanB (Nota: el algoritmo de agrupamiento de K-means es un método de cuantificación vectorial en el procesamiento de señales, su propósito es dividir n puntos -que puede ser una observación o una instancia de la muestra- en k conglomerados, de manera que cada punto pertenece al valor medio más cercano a él, es decir, el conglomerado correspondiente al centro del conglomerado, con como criterio de conglomerado. el algoritmo genético utilizado por PlanB.) para reproducir el modelo.
GOKO lanzará la tercera fase de la venta de energía de computación en la nube IPFS de la nube de oro de oro a las 15:00 de hoy: se informa que la segunda fase de la venta de energía de computación en la nube de IPFS de la nube de oro de GOKO se agotó a las 22 :00 ayer Requisitos, hoy a las 15:00 se abrirá la tercera fase de snap-up, con un límite de 200T.
El poder de computación en la nube IPFS de la plataforma GOKO se lanza conjuntamente con la nube de poder de computación dorada.El umbral mínimo de compra es de 21,5 USDT, que puede satisfacer las necesidades de inversión de diferentes usuarios. El poder de la computación en la nube se puede usar para la minería de Filecoin.Después de su lanzamiento en la red principal a fines de agosto de este año, los usuarios que se apropiaron pueden recibir una cierta cantidad de FIL todos los días.
El intercambio GOKO es una plataforma de comercio de activos encriptados gobernada por la comunidad, que es justa, justa, segura y confiable, y es un intercambio amigable para la comunidad. En la actualidad, ha obtenido inversión estratégica de Node Capital. [2020/7/6]

Figura 1: Las cuatro fases de Bitcoin identificadas por el agrupamiento de k-means, su capitalización de mercado y la relación stock/producción se representan frente al oro y la plata
Golden Evening News | Lista de noticias importantes en la tarde del 3 de julio: 12:00-21:00 Palabras clave: Banco de Japón, Banco de Comunicaciones, Provincia de Hebei, Moutai
1. El Banco de Japón cooperará con instituciones financieras privadas y empresas de pago para estudiar CBDC.
2. Se lanzó la plataforma blockchain de Ventanilla Única de Comercio Internacional del Banco de Comunicaciones.
3. Plan de acción especial de la cadena de bloques de la provincia de Hebei: promover la integración y el desarrollo de la industria de la cadena de bloques y la economía real.
4. El "Centro de datos de computación en la nube de Qingyuan" de Tencent inicia los servicios e implementará blockchain y otras tecnologías.
5. Kweichow Moutai lanzó el primer vino digital 3D-AR digital.
6. RVN emitió una actualización de emergencia debido a una vulnerabilidad, la vulnerabilidad ha provocado que la cantidad total de tokens aumente en un 1,5%.
7. Se lanzó la versión 3.0 de la plataforma de servicio "Blockchain + Government Services" de la provincia de Jiangxi "Ganfutong".
8. Se lanzó el primer sistema de gestión de fondos de mantenimiento especial de viviendas blockchain + de Yunnan.
9. La factura electrónica blockchain ganó el Premio a la Calidad del Alcalde de Shenzhen y Tencent actualizó la aplicación "blockchain + taxation". [2020/7/3]
Curiosamente, el agrupamiento de k-medias encontró casi las mismas relaciones que las identificadas por PlanB. A continuación, sigo usando el agrupamiento k-means para distinguir la relación.
Jinse Finance Live Report EEA publica Ethereum Enterprise Specification 1.0: Jinse Finance live report, hoy en la Conferencia de Consenso Coindesk 2018, Ron Resnick, director ejecutivo de Ethereum Enterprise Alliance (EEA), anunció la Ethereum Enterprise Specification 1.0. Resnick dijo que Ethereum Enterprise Specification es el resultado de 18 meses de estrecha cooperación entre empresas líderes, tecnología y miembros de la plataforma en este comité técnico. Este marco multiplataforma de código abierto del EEE será ampliamente adoptado. Su profundidad y amplitud son inalcanzables en silos empresariales individuales. Los estándares publicados esta vez ayudarán a lograr la interoperabilidad. [2018/5/16]
En la Figura 1, las cuatro fases de Bitcoin están coloreadas de verde, negro, azul y rojo, y los centros de datos están marcados con puntos. Los datos para estos puntos del centro de datos (proporción existencias/producción y capitalización de mercado) se proporcionan en la Tabla 1 a continuación.

Tabla 1: Datos para los puntos centrales en la Figura 1
Los parámetros de la ecuación de regresión se muestran en la siguiente tabla.

Tabla 2: Parámetros de regresión que muestran un ajuste muy bueno
Los números entre paréntesis debajo de los coeficientes y constantes son desviaciones estándar (SE). La desviación estándar se utiliza para medir la confianza del coeficiente. Si el intervalo definido por el coeficiente de regresión ±1.96SE contiene cero, el coeficiente no es significativo. Pero el coeficiente de regresión obtenido arriba está a muchas desviaciones estándar de cero (alrededor de 30 SE). Entonces, el coeficiente es estadísticamente significativo al menos en el nivel 0.01 (de hecho, es funcionalmente igual a 0 cuando realmente lo buscamos desde la distribución t). Esto significa que el coeficiente de regresión es 4,17, que tiene una probabilidad casi nula de contener 0.
El R² es muy alto, lo cual es interesante, pero no es nuestro enfoque. Una cosa a tener en cuenta aquí es que existe una alta correlación entre los centros de relación stock/rendimiento y los centros de capitalización de mercado. Los astutos notarán que debido a que el tamaño de los datos de regresión es pequeño, la estadística F se ha ajustado para los grados de libertad (df) apropiados. El estadístico F nos dice que la probabilidad de que tanto el coeficiente de regresión como la constante sean cero también es casi cero.
Continuaré explorando la suposición de Gauss-Markov en el futuro, pero dada la cantidad de puntos de datos hasta ahora, creo que este ejercicio de regresión es bastante tedioso.
Ahora, calculemos el intervalo de predicción. Primero, definamos los intervalos de predicción y contrastémoslos con los intervalos de confianza.
Un intervalo de confianza es un intervalo que abarca características desconocidas de la población o proceso muestreado. Suelen estar relacionados con parámetros como la media o la varianza.
Los intervalos de confianza capturan la incertidumbre en torno al valor medio predicho.
Un intervalo de predicción es un intervalo que contiene una o más observaciones futuras extrapoladas de una población o proceso previamente muestreado, o alguna función de estas observaciones futuras.
Los intervalos de predicción capturan la incertidumbre en torno a un único valor.
Por tanto, para un determinado valor, el intervalo de predicción siempre será más amplio que el intervalo de confianza.
Piense en los intervalos de confianza como grados de confianza en la línea de regresión, mientras que los intervalos de predicción son como grados de confianza en las predicciones individuales.
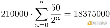
Pero antes de hacer predicciones, debemos estimar el punto del centro de datos para la próxima fase de Bitcoin. Gracias a Satoshi Nakamoto, esto es muy fácil. Sabemos que cada 210 000 bloques, la recompensa se reduce a la mitad y la recompensa inicial del bloque fue de 50 bitcoins. Por lo tanto, se puede obtener la siguiente fórmula:

Ecuación 1: Bitcoin en circulación en el tercer halving
Por lo tanto, habrá un total de 18.375 millones de bitcoins en circulación en el momento del tercer halving. En el momento de la cuarta reducción a la mitad, este número aumentará a 19,687,500 bitcoins. Así, durante 210.000 bloques, la producción de bitcoins es de 19687500 – 18375000 = 1312500 bitcoins. Para anualizar la relación stock/producción en el formato correcto, debe multiplicarse por el número de días por bloque. Es decir, salida = 1312500 * (6 * 24 * 365,25 / 210000) = 328725 bitcoins/año, es decir, durante el período comprendido entre el tercer halving y el cuarto halving, la producción media es de 328725 bitcoins/año. Por lo tanto, la relación existencias/producción en el cuarto halving es 19687500/328725 = 59,9. Tomando el logaritmo natural, obtenemos 4.09.

Cuadro 3: Intervalos límite de las previsiones de valor de mercado en diferentes etapas de agrupación
El rango de pronóstico para la capitalización de mercado de la Fase 5 de Bitcoin se estima entre $ 1,6 billones y $ 29,1 billones. Según la valoración del mercado al final de este período, esto significa que el precio de un solo bitcoin está entre $83 000 y $1,48 millones, con un punto central de alrededor de $350 000 (Nota: PlanB estima que el punto central del precio de Bitcoin alcanzará 28.8 Diez mil dólares americanos).

Original: S2FX: estimaciones de la fase 5
Tags:
El 14 de mayo, el caso MLM de la red de moneda virtual a gran escala "WoToken" se escuchó públicamente en el Tribunal Popular del condado de Binhai, ciudad de Yancheng.Según el centro de tasación.
Aunque DeFi actualmente está dominado por Ethereum, Bitcoin está tratando de ponerse al día.Hoy, la cantidad de Bitcoin bloqueada en el ecosistema DeFi ha alcanzado los 3200 BTC.
Nota importante: El proceso de instalación ideal y las mejores prácticas que se muestran en este artículo están escritos para usuarios que han dedicado una computadora para participar en el staking. Por lo tanto.
Golden Finance lanzó recientemente la columna Hardcore para brindar a los lectores introducciones o interpretaciones detalladas de proyectos populares.
El mercado ha seguido cayendo en los últimos dos días y no ha superado el máximo anterior cuando se recuperó. Cayó a 9220 en el punto más bajo en la madrugada de esta mañana.
1. Las tarifas de los mineros representan casi el 20% de las recompensas por bloque. Las nubes oscuras sobre BTC pueden haber visto el amanecer“En unas pocas décadas.
Una llamada de un desarrollador de ethereum 2.0 reveló que la red de prueba Schlesi ha tenido tanto éxito que se espera que en junio se lance una red de prueba multicliente más formal basada en la especificación 0.12.